ОГЛАВЛЕНИЕ

Автор
Выбор сечения проводов,шнуров,кабелей и спецкабелей с резиновой или пластмассовой изоляцией.Главное окно.
   -Расчет тока,мощности,сечения,сопротивления,работы,энергии,диаметра и тока плавления.
   -Выбор автоматов защиты.
   -Расчет стоимости и установки эл.оборудования.
   -Прайсы на эл.оборудование.
   -Основы электро безопасности.
   -Примечание.Документы и таблицы.
Выбор сечения кабелей с бумажной пропитанной изоляцией.
Выбор сечения кабелей с бумажной пропитанной изоляцией.Прокладка в блоках.
Выбор сечения неизолированных проводов и шин.
Проверка сечения:
   -на потери напряжения до 1000 В.
   -на нагрев сечения проводника.
   -на экономическую плотность тока.
   -по условиям короны и радиопомех.
Проверка на потери напряжения выше 1000 В.
Расчет токов короткого замыкания.
Расчет заземления и расчет промерзания и защиты грунта. См.справку в модуле Заземление
Расчет за потребляемую электроэнергию с энерго снабжающей организацией ЭСО.
Выбор сечения нескольких нагрузок по схеме.
Сопутствующие программы

Электрик.Расчет токов короткого замыкания.


В программу заложены несколько трансформаторов типа ТМ.
В авторежиме вводится только длина в метрах.
В ручном режиме выбор произвольный.
расчет токов к.з
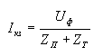
Ток Короткого Замыкания: расчет токов к.з
где Iкз- ТКЗ, Uф- фазное напряжение сети,Zп - сопротивление цепи фаза-ноль, Zт - полное сопротивление фазной обмотки трансформатора на стороне низкого напряжения.
расчет токов к.з
где Uкз- напряжение КЗ трансформатора (в % от Uн ),Uн- номинальное напряжение трансформатора,Iн- номинальный ток трансформатора.
расчет токов к.з
где Rп- активное сопротивление одного провода цепи КЗ,Хп - индуктивное сопротивление одного провода (из расчета 0,6 Ом/км).
расчет токов к.з
где p- удельное сопротивление проводника,l- длина проводника, S- площадь поперечного сечения проводника.
Примечание: Не учитываются скрутки и.т.п. Точную картину может дать только непосредственный замер сопротивления.
НАЗНАЧЕНИЕ КНОПОК
-"Калькулятор" Вызов калькулятора Windows. -"Помощь" Вызов этой справки. -"Назад" Возврат в главное окно.
Посмотреть в ПУЭ Выбор оборудования по К.З.Глава 1.4 Электрик.Выбор проводника.Главное окно